Sensor: https://de.manu-systems.com/MB-MB706..._Datasheet.pdf
Preis ca. 120Euro
Alternative um ca. 40Euro: https://de.aliexpress.com/item/Top-S...280c4c4dkCb2cs
Anschluss:
Versorgungsspannung 3V oder 5V auf V+ und GND
Ausgang AN geht auf einen 0-10V Eingang der Loxone und per Analogkorrektur auf m umrechnen auf das Projekt bezogen.
Den Anschlusssbereich hab ich dann einfach mit der Heißklebepistole verklebt
Stecker vom großem A....:
Kabel: KNX
Config:
Da das ganze doch etwas schwankt muss ich mich noch mit dem Komma bzw. der Ganzzahl spielen.
Den Sensor hab ich jetzt nur lose in der Zisterne hängen aber werde ihn noch in ein 50er Kunstoffrohr einbauen das bis zum Grund geht.
Langzeiterfahrung hab ich noch keine.
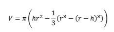
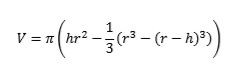
Formel: I1*(I2*I3^2-1/3*(I3^3-(I3-I2)^3))


Kommentar